衰老是一个复杂且渐进的生物学过程,随着年龄增长,细胞、组织和器官的功能逐渐退化,导致机体对各种刺激的敏感性增加,患病风险显著上升。衰老过程中,细胞内自由基积累、DNA损伤加剧、蛋白质折叠异常增多,引发细胞功能障碍和细胞凋亡。同时,免疫系统功能衰退”。尽管衰老是自然过程,但通过合理饮食、适度运动、心理调节以及科学干预,可在一定程度上延缓衰老进程,提高晚年生活质量
植物多糖作为天然高分子化合物,因具有良好的生物活性、安全性和胶体性质,在食品和制药领域备受关注。何首乌(Polygoni Multiflori Radix Praeparata, PMRP)作为传统补益中药,炮制后具有补肝肾,益精血,乌须发,强筋骨,化浊降脂的功效,在临床上有着广泛应用,其主要成分包括多糖、蒽醌和酚酸等。
近期,中国科学院杭州医学研究所发表了一篇题为“Structural characterizations and antiaging activities of hydrolyzed low-molecular-weight polysaccharides from Polygoni Multiflori Radix Praeparata”的研究论文,深入探讨了何首乌炮制品中低分子量多糖的抗衰老活性及其作用机制
图片
图1 论文首页
PRP 的降解与纯化
采用氢氧化钠 - 亚硫酸氢钠法提取何首乌中的多糖,经 Sevage 法脱蛋白后,通过过氧化氢 - 抗坏血酸法成功降解 PRP。通过离子交换柱和凝胶过滤柱色谱分离得到两种低分子量多糖 PRP1 和 PRP2,其分子量分别为 13.43 kDa 和 5.97 kDa,且均由葡萄糖组成。
图片
图2 过氧化氢-抗坏血酸法降解PRP的优化
PRP1 和 PRP2 的结构特征
对多糖样品进行甲基化处理,经水解、还原和乙酰化后,利用气相色谱 - 质谱联用技术(GC - MS)分析其甲基化产物,结合红外光谱(IR)、核磁共振(NMR)等技术对 PRP1 和 PRP2 的结构进行解析。PRP1 和 PRP2 的 backbone 均为 1,4 - α - D - Glcp,部分 1,4 - α - D - Glcp 在 O - 6 位置连接终端 D - Glcp。PRP1 的支链为 α/β - D - Galp,而 PRP2 的支链为 α - D - Glcp。
图片
图3 何首乌水解产物多糖的分离及单糖组成分析
图片
图4 PRP1和PRP2的化学结构表征
PRP 对 T 淋巴细胞增殖的影响
PRP2 在 25 - 200 μg/mL 浓度范围内可显著促进 T 淋巴细胞增殖,且与植物血凝素(PHA)协同作用,增强 T 淋巴细胞增殖效果,而 PRP1 和 PRP 的作用相对较小(图4A)。
PRP 对 D - 半乳糖诱导的 T 淋巴细胞衰老的影响
PRP2 能显著提高 D - 半乳糖处理的 T 淋巴细胞活力,抑制 SASP 因子产生,增加 TERT mRNA 表达,升高 CD4/CD8 比值,对 T 淋巴细胞衰老具有明显改善作用,PRP1 仅在较高浓度(150 - 200 μg/mL)时才表现出一定的保护作用(图4B、E-4G)。
图片
图5 PRP1和PRP2对β-半乳糖诱导的T淋巴细胞衰老的影响
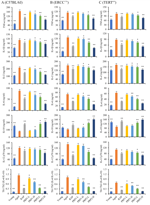
PRP2 对衰老小鼠血清中细胞因子水平的影响
与对照组相比,自然衰老和快速衰老小鼠血清中促炎细胞因子(TNF - α、IL - 1β、IL - 2、IL - 6 和 IL - 12 p70)水平显著升高,抗炎细胞因子 IL - 10 水平降低,导致 Th1/Th2 比值增加。PRP2 干预可剂量依赖性地降低促炎细胞因子水平和 Th1/Th2 比值,提高 IL - 10 水平,PRP1 即使在高剂量下也仅能降低部分细胞因子水平。
图片
图6 PRP1和PRP2对衰老小鼠炎症因子水平的影响
PRP2 对衰老小鼠脾脏功能的影响
与年轻小鼠相比,衰老小鼠脾脏组织中白髓面积增加,红髓面积减少,p16 和 p21 基因及蛋白表达显著升高。PRP2 可降低红髓与白髓面积比,减少 p16 和 p21 的表达,表明其能改善脾脏功能
图片
  图7 PRP2改善衰老小鼠脾脏组织的病理形态
PRP2 对衰老小鼠外周免疫图谱的影响 
自然衰老和快速衰老小鼠血液中 CD4+ T 细胞、CD8+ T 细胞、NK 细胞、巨噬细胞和树突状细胞比例显著降低,而 B 细胞、mCD4+ T 细胞和 mCD8+ T 细胞比例升高。PRP2 干预可逆转这一趋势,显著提高上述免疫细胞比例,降低 B 细胞、mCD4+ T 细胞和 mCD8+ T 细胞比例
图片
图8 PRP2处理前后衰老小鼠的外周免疫景观
PRP2 抗衰老机制
转录组测序显示 PRP2 可显著调控 364 个差异表达基因,涉及 MAPK、化学致癌 - ROS、NOD 样受体、趋化因子和 T 细胞受体信号通路等。通过分子对接和 SPR 实验证实 PRP2 能与 Keap1 直接结合,阻断 Keap1 与 Nrf2 的相互作用,激活 Nrf2 信号通路,促进 Nrf2 核转位及其下游靶基因 HO - 1 的表达,从而抑制 SASP 因子释放,改善免疫细胞衰老状态。
图片
图9 PRP2改善β-半乳糖诱导的细胞衰老的机制
结论
该研究通过优化过氧化氢 - 抗坏血酸法降解何首乌多糖,成功制备得到两种低分子量多糖 PRP1 和 PRP2。其中 PRP2 相较于 PRP 和 PRP1,在体外可显著改善 D - 半乳糖诱导的 T 淋巴细胞衰老,抑制 SASP 因子产生,增强细胞增殖与免疫功能;在体内能有效减轻自然衰老和快速衰老小鼠脾脏组织的衰老状态,调节外周免疫细胞分布,降低血清中促炎细胞因子水平。其抗衰老机制主要与激活 Nrf2/HO-1 信号通路有关,通过与 Keap1 竞争性结合,促进 Nrf2 核转位及下游抗氧化基因表达,进而降低 SASP 因子释放,改善免疫细胞衰老状态。
参考文献:

Xu W, Li XJ, Zhong YS, He JQ, Xie W, Kang YK, Ying HZ, Yu CH. Structural characterizations and antiaging activities of hydrolyzed low-molecular-weight polysaccharides from Polygoni Multiflori Radix Praeparata. Carbohydr Polym. 2025 May 15;356:123381. doi: 10.1016/j.carbpol.2025.123381. Epub 2025 Feb 14. PMID: 40049961.

 

作者|梅斯医学
编辑 | 逅思