众所周知,反式脂肪酸对健康无益,但抵不住蕴含反式脂肪酸的食物太诱人了!反式脂肪酸常见的来源包括油炸食品(垃圾食品)和人造黄油、起酥油、饼干、蛋糕等加工食品。此时,你是不是会有这样的想法:那我少吃或者不吃就可以啦。殊不知,在家庭烹饪过程中,也可能产生反式脂肪酸!
近日,日水株式会社、名城大学的研究人员在《国际食品研究》杂志上发表了研究成果,揭示了在高温烹饪条件下,富含硫化物的蔬菜如大蒜和洋葱会促进植物油中不饱和脂肪酸的反式异构化,也就是反式脂肪酸。
那研究人员是怎么发现这一研究点的?又是怎么将其实现科研与生活现实的结合的呢?

研究内容与思路
研究人员选择了三油酸甘油的两种结构来进行模拟实验,分别是三油酸甘油酯和三油酸甘油醚,评估加不加硫化合物对油产生反式脂肪酸的影响。
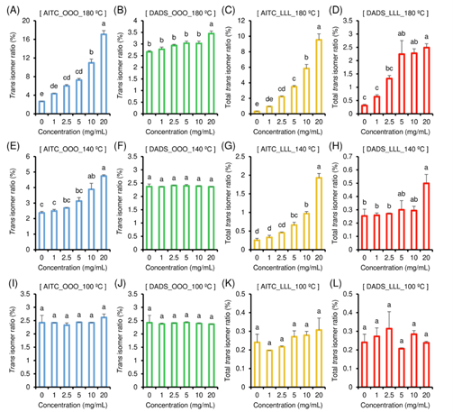
一、硫化合物浓度和反应温度的影响
首先是评估了硫化合物的浓度以及油的温度带来的影响。实验发现不加硫化合物异硫氰酸酯(AITC)和多硫化物(DADS)的时候,即便温度到达180℃,单不饱和脂肪酸(18:1 FA)和多不饱和脂肪酸(18:2 FA)转化为反式脂肪酸的比例(TFA比)只增加了一点点。但是当加入AITC或/和DADS的时候,随着温度的增加,18:1 FA和18:2 FA的TFA比增加:在100℃的时候,加入AITC和DADS并不会影响TFA比;当温度为140℃时,随着AITC的加入,18:1 FA和18:2 FA的TFA比呈浓度依赖型增加,而对于DADS,只有18:2 FA在浓度为20 mg/mL时存在显著差异;在180℃时,AITC或DADS存在都可以使得18:1 FA和18:2 FA TFA比呈浓度依赖性增加。
表明了硫化物的存在及存在浓度、温度的升高都会导致反式脂肪酸的形成。

研究思路:研究人员选择了两种三油酸甘油来进行验证,采用了两种常见的硫化合物来进行实验。在烹饪过程中,包括的要素有:食材、温度、时间;对此,研究人员首先探讨了硫化合物浓度以及温度对反式脂肪酸生成的影响。
二、反应温度和时间的影响
烹饪时间也是不可少的环节,对此,研究发现没有AITC和DADS时,140℃、加热90min或180℃、加热30min条件下,18:1 FA TFA比显著增加。AITC存在时,100℃、加热60min会导致18:2 FA TFA比显著增加,且随着温度的升高、加热时间的延长,18:1 FA和18:2 FA TFA比显著增加。DADS存在时,140℃时,加热60 min后,18:2 FA的TFA比显著增加;180℃,随着加热时间延长,18:1 FA和18:2 FA TFA比显著增加。
这一部分实验表明:加热温度和持续加热时间也在反式脂肪酸生成环节起重要作用。

研究思路:研究了浓度与温度,接下来研究了温度与时间,在一定硫化合物浓度下,温度和时间对反式脂肪酸生成存在什么影响呢?最终证明,烹饪温度高、时间久与反式脂肪酸生成成正比。
三、硫化合物类型的影响
进一步细分,研究人员对蔬菜中常见的硫化合物进行了单独研究,分别是六种异硫氰酸酯(MITC、EITC、IPITC、AITC、BITC和MTPITC)和六种多硫化物(DMDS、DEDS、DADS、DMTS、DIPTS和DATS),实验发现所有异硫氰酸酯都促进了不饱和脂肪酸转化为反式脂肪酸,其中,促进18:1FA TFA比的顺序为BITC > IPITC > AITC > EITC > MTPITC >MITC;促进18:2FA TFA比的顺序为BITC > IPITC > AITC > MTPITC > EITC > MITC。在多硫化物方面,DADS和DATS显著促进了18:2 FA TFA比。其他多硫化物有一些促进效果,但未达到统计学差异,可能是因为多硫化物存在一些抗氧化性。

研究思路:选取了常用的硫化合物毕竟存在局限性,对此,研究者拓展了硫化合物范围,结合日常中常见的蔬菜,蔬菜中蕴含的硫化合物种类,分析了12种硫化合物对反式脂肪酸生成的影响。证实了大多数硫化合物都会导致反式脂肪酸生成。
四、抗氧化剂添加的影响
在这一部分中,研究人员还探讨了抗氧化剂(α-生育酚、BHT和β-胡萝卜素)对反式脂肪酸生成的影响,这几种抗氧化剂多存在于多种植物油中或通常用作食品添加剂。实验发现α-生育酚和BHT可以显著抑制AITC导致的TFA比,而β-胡萝卜素仅能抑制高浓度AITC导致的TFA比。但抗氧化剂对DADS引起的TFA比抑制效果不佳。

研究思路:第三部分发现DADS存在一些抗氧化性,导致反式脂肪酸生成较少,因此,研究者探讨了一些植物油或食品添加剂中常见的抗氧化剂对反式脂肪酸生成的影响。
五、硫化合物浓度对植物油生成反式脂肪酸影响
研究人员采用了烹饪中最常用的植物油来进行验证,探讨了AITC和DADS浓度对大豆油和橄榄油中18:1和18:2 FA TFA比的影响。实验发现加入了AITC和DADS后,大豆油和植物油的反式脂肪酸合成增加。

六、富含硫化合物的蔬菜+植物油后反式脂肪酸生成情况分析
最后,研究人员将富含硫化合物的蔬菜跟植物油一起烹饪,探讨富含硫化合物的蔬菜对大豆和橄榄油中TFA比的影响。大蒜、洋葱、韭菜、卷心菜、西兰花芽和辣根被选为富含硫的食物。实验发现这些富含硫化合物的蔬菜与植物油一起烹饪,在高温环境下,会导致植物油中反式脂肪酸生成增加。

研究思路:富含硫化合物的食材与植物油一起烹饪,是否也会达到硫化合物+植物油一起烹饪的效果呢?最终证实了:高温、热油+富含硫化合物的蔬菜=反式脂肪酸。
小结
综上所述,这项研究从生活角度出发去研究反式脂肪酸。以往大家往往关注于超加工食品中存在反式脂肪酸,要少吃,但是却忽略了生活中常见的食物是否也存在反式脂肪酸。
对此,研究者通过日常观察、科研、回归现实食材进行验证来证实了高温热油烹饪富含硫化合物的食材,尤其是日常的调味品如葱、蒜等,会导致反式脂肪酸的生成。
在这篇文章中,我们可以学到什么呢?在研究的时候,可以与日常生活结合,升华一下主题;此外,可以换一个角度去研究一些常见的矛盾点,比如很多人都致力于研究超加工食品中的反式脂肪酸,很少研究家庭烹饪与反式脂肪酸的关系,研究者从这一角度入手,创新性强。
撰写:MIE
编辑:小饼干