2024年10月3日,映恩生物在Clinicaltrial.gov网站上注册了DB-2304的一期临床试验。

此次一期临床计划入组70例健康受试者,预计2026年上半年完成。

今年4月,映恩生物BDCA2 ADC专利公开,采用糖皮质激素作为payload,用于治疗自身免疫性疾病。

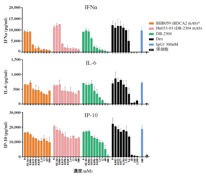
DB-2304为一款BDCA2 ADC新药,采用激素类似物作为paylaod,DAR值为4。

BDCA2主要在pDC上表达,DB-2304结合后内吞并释放激素类似物到细胞中,促进抑制促炎细胞因子分泌的糖皮质激素反应基因的转录,抗体的结合本身也会抑制pDC活化和干扰素的产生,两种机制发挥协同效应。

临床前研究证明这种协同效应的存在,DB-2304相比于临床上的BDCA2抗体可以更好的抑制炎性细胞因子的释放。

总结
映恩生物在迭代ADC的开发上积极布局,PD-L1/B7H3双抗ADC、BDCA2自免ADC陆续进入临床阶段。今年8月下旬,映恩生物已经递交港交所上市已申请,根据招股书公开信息,2023年以来,与BioNTech的授权合作带来21.22亿元人民币收入,客户A的授权合作带来2.85亿元收入。
