早在上世纪九十年代,就有研究者注意到一个奇怪的现象:长期服用锂盐治疗情感障碍的患者,虽然承受着药物带来的各种副作用,但似乎在认知功能下降这件事上,反而比同龄人更有“优势”。
后来更大规模的流行病学调查发现,饮用水中天然锂含量较高的地区,居民痴呆症发病率居然明显更低。
这背后到底发生了什么?
2025年发表于Nature的一项研究[1]指出,阿尔茨海默病患者的大脑里可能处于一种“锂缺乏”状态。他们大脑中的淀粉样蛋白斑块会“吸走”锂离子,导致这种对神经元存活至关重要的微量元素被大量消耗。
锂离子在正常生理状态下参与调控多种激酶活性,尤其是糖原合成酶激酶3(GSK-3),其被过度激活时会导致tau蛋白异常磷酸化、神经纤维缠结形成,还会促进淀粉样蛋白的生成。补充锂,恰好可以抑制这个过程。
近期,来自匹兹堡大学医学院的研究团队发表于JAMA Neurology的一项随机对照临床试验[2]为上述发现提供了新的证据。这项研究表明,补充低剂量锂盐在轻度认知障碍老年人群中具有良好的可行性与安全性,并部分减缓言语记忆衰退速度,尤其在脑内存在淀粉样蛋白病理改变的患者中显示出更积极的信号。

DOI:10.1038/s41586-025-09335-x
这个研究到底是怎么做的?
研究者招募了80名年龄在60岁以上的轻度认知障碍患者,这个阶段处于正常衰老和痴呆之间,患者本人和家人都能察觉到记忆力在下降,但日常生活能力尚可维持。
这些被试者被随机分成两组,一组每天服用低剂量的锂(根据耐受性在每日150至300毫克间调整),另一组服用外观一致的安慰剂。
整个试验持续了两年,期间参与者要定期接受一系列评估,包括认知功能测试、脑部扫描、血液生物标志物检测等。
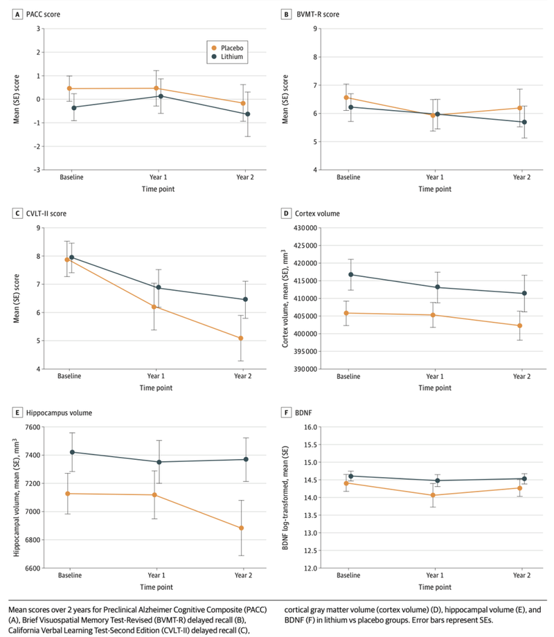
研究者们特别关注的是六个预先指定的主要结局指标:言语记忆、视觉记忆、综合认知功能、海马体积、大脑皮层灰质体积,以及脑源性神经营养因子(BDNF)的水平。
补充锂效果如何?
从严格意义来说,这项研究的结果其实是“阴性”的。六个主要结局指标,没有一个达到研究者预设的统计学显著性阈值(P<0.01)。
但在言语记忆这一指标上,出现了一个值得关注的信号。简单来说,言语记忆就是让被试者学习一串单词,然后在延迟一段时间后尽可能多地回忆出来。
结果显示,安慰剂组的患者每年平均下降1.42分,而锂组的患者每年下降0.73分。两者的差异是每年0.69分(P=0.05),恰恰踩在了传统“显著”标准的门槛上。

两组受试者在认知功能、脑结构和BDNF水平上的变化轨迹
当然,对于一种可能要在老年人身上长期服用的药物,安全性是绕不开的问题。
研究人员发现,锂组41人中有12人(29%)报告了严重不良事件,安慰剂组39人中有9人(23%)。但没有一例严重不良事件被判定为“肯定与药物有关”。
常见的不良反应方面,血肌酐水平升高在两组发生率几乎持平(29% vs 31%)。锂组腹泻(29%)、疲劳(29%)、震颤(24%)发生率高于安慰剂组(分别为15%、15%、8%)。不过,这些不良反应均在可耐受范围。
总体来说,两年试验期结束,锂组34%的人停用了研究药物,安慰剂组38%停药。这种停药率在老年人群的长期试验中并不算高,说明低剂量锂的耐受性尚可。
哪些人可能更受益?
锂对所有被试者都“一视同仁”吗?还是有其“偏爱”群体?
研究团队把处于阿尔茨海默病早期病理阶段(淀粉样蛋白阳性)的被试者“拎”出来单独进行了分析。
他们发现,在这个小群体中,锂对言语记忆的保护效应达到了0.74的效应量,对海马体积的保护效应为0.82;而在淀粉样蛋白阴性的被试者中,对应的效应量仅达到0.32和0.09,基本可以忽略。
这也意味着,锂可能主要是通过干预阿尔茨海默病的病理过程起作用的,对于那些虽然认知有下降但大脑中没有淀粉样斑块的人,可能作用不大。
读到这里,可能不少人可能会想:既然六个主要指标都没达到显著性标准,那这项研究的意义何在?
这就要回到研究设计的初衷了。这是一项“初步可行性试验”。更为直白地说,在投入巨资开展大规模确证性试验之前,先用一个小规模研究“试试水”,评估药物的安全性、患者参与的意愿度、干预措施的依从性、指标的敏感性,以及得出明确结论所需的样本量。
从这个角度看,这项研究自有其成功之处。它提示,低剂量锂在轻度认知障碍老年人群中是可以耐受的,坚持服药两年是可行的,言语记忆是最有希望观察到疗效的指标,淀粉样蛋白阳性的人可能获益更大。这些信息对于设计下一步的大型试验至关重要。
当然,其也存在一些局限性。轻度认知障碍向痴呆的转变通常是以年为单位缓慢发生的,两年时间可能确实不够长,不足以观察到两组之间在痴呆转化率上的差异。
尽管如此,这项研究还是有巨大的启示意义和临床应用价值。长期以来,锂的使用一直受到治疗窗口窄、副作用多的困扰。治疗精神疾病需要的血药浓度离中毒浓度并不远,患者需要频繁抽血监测。这种“麻烦”限制了它的使用,也让很多医生和患者对它望而却步。
低剂量锂的思路正好避开了这个问题。把剂量降到常规治疗的十分之一甚至更低,可能既保留了神经保护作用,又避开了大部分副作用。
看来,锂对阿尔茨海默病神经退行性变的影响还真是不容小觑。学术界在这条路上已经走了多远呢?不妨用用下方“循证神器”——DeepEvidence,一键检索最全面的循证医学证据。

注:本篇内容仅作学术分享,锂必须在医生指导下使用。
[1]Aron L, Ngian ZK, Qiu C, et al. Lithium deficiency and the onset of Alzheimer’s disease. Nature. 2025;645(8081):712-721. doi:10.1038/s41586-025-09335-x
[2]Gildengers AG, Ibrahim TS, Anderson SJ, et al. Low-Dose Lithium for Mild Cognitive Impairment: A Pilot Randomized Clinical Trial. JAMA Neurol. Published online March 02, 2026. doi:10.1001/jamaneurol.2026.0072
