据《科学新闻》(Science News)消息,预计从 3 月 1 日起,中国科学院计划停止使用学术经费和中央财政拨款支付约 30 种国际高收费开放获取(OA)期刊的论文发表费用。
受影响期刊包括《自然-通讯》(Nature Communications)、《细胞报告》(Cell Reports)和《科学进展》(Science Advances)等知名刊物,这些期刊的单篇发表费用均超过 5000 美元。

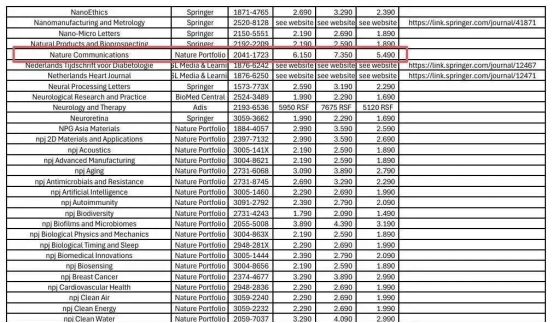
图源:Science News
以Nature Communications为例,根据其官网文件,该期刊2026年版面费(APC)将增加到7350美元,比目前的6990美元增加360美元,按照美元兑人民币1比7的汇率,期刊APC将达到51450元,突破5万元人民币。

针对该消息,目前尚未见官方回应,但部分社交平台上已经有人表示收到相关通知:中国科学院科技基础能力局和财务与资产管理局通知,Nature Communications、Science Advance、Advanced Science、Results in Physics等期刊,自2026年3月1日起禁止使用中央财政经费(包括科技部、自然科学基金委等国家各部委和我院部署的项目经费)报销论文发表的相关费用。

不过,此举并不意味着完全禁止研究者在这些期刊发表论文,研究人员仍可自行支付费用或者使用横向科研经费(企业合作项目等)、单位的专项配套经费报销。
此外,消息显示,对于收费较低或提供免费订阅模式的期刊,中科院仍持开放态度。专家指出,这反映了全球科研体系在追求开放获取与维持财务可持续性之间的艰难权衡,也是对全球出版商高昂收费模式的挑战,德国和美国等国也在考虑类似措施以限制过高的出版费用。
例如,美国国立卫生研究院(NIH)在针对限制科研经费支付出版成本(APC)的提案(NOT-OD-25-138)中提出了设定单篇上限: 基础上限为2,000美元,若期刊向审稿人付费,上限可提高至3,000美元。
观察人士认为,中科院此举旨在控制科研成本,同时也可能是为支持中国本土期刊。Science News则认为该政策可能会对部分开放获取期刊造成严重冲击,据 Science数据显示,仅2025年,Nature Communications和Science Advances中,约有10%的论文有中科院署名作者,两刊合计有约40%的论文作者来自中国。
