导读

 

随着多组学技术的发展,研究人员正以前所未有的精度探索着基因调控的秘密。近期,《Nature Communications》发表了一项关于超保守非编码元素(UCNE)在视网膜发育和罕见眼病中作用的研究Multi-omics analysis in human retina uncovers ultraconserved cis-regulatory elements at rare eye disease loci,该研究利用了先进的多组学分析方法以及斑马鱼作为实验模型,为理解这些疾病背后的分子机制提供了新的见解。

 

研究背景


 

基因组中的“暗物质”,即大量存在的非编码DNA序列,其中包含了众多功能性顺式调控元件(CRE),例如启动子、增强子、沉默子以及绝缘子等。对组织特异性基因表达起着至关重要的作用。特别是在眼部发育过程中,这些CRE通过精确调控相关基因的时空表达模式,确保了正常的眼部结构形成及功能维持。然而,对于那些位于非编码区的变异如何影响视网膜发育并导致罕见眼病的具体机制仍然知之甚少。

 

研究设计与结果

本研究采用了一种创新性的方法论框架,结合了大规模人群全基因组测序(WGS)数据与单细胞转录组学分析,旨在系统地识别并验证那些可能参与控制视网膜相关基因表达的UCNE。

 

通过对来自英国Genomics England项目的近3200名患有罕见眼部疾病的患者样本进行深入挖掘,发现了超过178个极其稀有的变异位点,位于84个不同的UCNEs内,并且与29个已知的眼科疾病致病基因相关联。此外,研究还利用多种生物信息学工具预测了这些变异可能导致的功能性后果,比如转录因子结合位点破坏或染色质状态改变等。

 

图片图1:集成公开的数据集,用于表征超保守非编码元素(UCNE)库

 

首先,研究者综合整合了公开数据库中视网膜整体转录组、单细胞转录组、表观遗传组和染色质开放的数据,通过对UCNE的染色质开放状态、增强子活性以及与其他已知功能性非编码序列之间的关系进行深入分析,研究者们筛选出1487个具有潜在cCRE活性的UCNE。

 

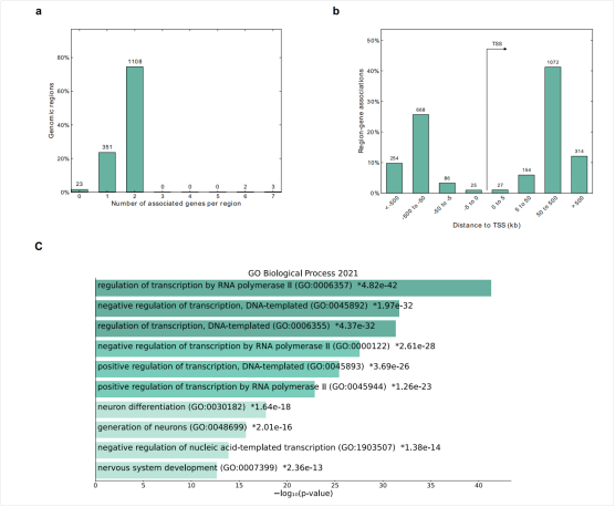
图片图2:靶基因在视网膜中特征UCNE调控下的作用

 

接着,研究者筛选出这1487个UCNE的靶基因,并研究了这些UCNE与靶基因的拓扑关系。此外,研究人员还对靶基因进行了GO分析和细胞特异性分析,发现这些靶基因高度集中在转录和分化过程,并且在1487个UCNE中,超过一半都与其靶基因在染色质开放性上具有一致的细胞特异性,表明这些UCNE是细胞特异性分化的CRE。需要注意的是,不同方法鉴定的靶基因有所不同,这可能源于不同方法基因注释的差异。

 

图片图3:UCNE基因组变异对罕见眼病中遗传力缺失的贡献

 

随后,研究者通过综合分析大规模人群的WGS数据,系统地评估了UCNE 在罕见眼病中的变异模式及其对疾病的影响。研究结果表明,UCNE在视网膜发育过程中扮演着关键角色,并且这些区域内的变异可能对疾病的发病机制有重要影响。特别是,UCNE表现出极高的保守性和对变异的低容忍度,这意味着即使是少量的变异也可能导致严重的功能障碍。

 

图片图4:人视网膜中PAX6顺式调控景观的特征

 

研究者特别在一个常染色体显性中央凹异常家族的四位成员中鉴定出了一个超罕见的SNV(chr11:31968001 T > C),位于PAX6基因上游150 bp处的具有潜在顺势调控活性的UCNE。针对该UCNE的进一步分析发现,这个UCNE被定义为一个视网膜双极细胞的顺势调控原件。

 

同时在视网膜发育早期,在一群神经节细胞前体细胞中该区域的染色质可及性较高,并且这类细胞也同时表达PAX6。研究者在多种物种上验证了该UCNE在胚胎发育过程的顺势调控活性。

 

图片图5:pax6相关UCNE的体内评价

 

利用E1b-GFP-Tol2 增强子检测载体,研究人员在斑马鱼中直观地看到该UCNE在不同发育阶段的顺势调控活性分布,包括前脑和眼部。然而,携带罕见SNV的UCNE并未展现出显著的差异,其是否参与视网膜疾病的进展,有待进一步的验证。

 

这项研究基于对于公开数据的创新性和高度整合性的挖掘,揭示了UCNE的时空特异性顺势调控活性在视网膜发育和罕见眼科遗传病中的潜在作用,加深了整个领域对于视网膜发育过程中基因和染色质精确调控模式的认识,为后续对UCNE的功能研究打下了基础。

 

拓展延伸

● 多组学技术在科研领域的广泛应用

 

1. 癌症研究:在肿瘤学中,多组学方法被用来识别驱动癌症进展的关键分子改变。例如,通过对肿瘤样本进行全基因组测序(WGS)、RNA测序(RNA-seq)及蛋白质组分析,科学家们可以发现新的生物标志物,这些标志物有助于早期诊断、预后评估以及个性化治疗方案的设计。

 

2. 神经退行性疾病:对于阿尔茨海默症、帕金森病等神经系统退行性疾病,多组学手段可以帮助研究人员理解大脑细胞类型特异性的基因表达模式变化及其对病理过程的影响。这方面的研究可能促进新型药物靶点的发现或现有治疗方法的优化。

 

3. 微生物组与宿主相互作用:利用宏基因组学结合代谢组学的方法,科学家们正在探索肠道微生物群落如何影响人类健康,包括肥胖症、糖尿病甚至心理健康状态。此外,这类技术也被应用于农业领域,以了解植物根际微生物群落与作物生长之间的关系。

 

4. 环境毒理学:多组学策略还被用于评估环境污染对人体健康的长期影响。通过比较暴露于不同污染物下的个体或群体间的遗传变异情况,研究人员能够更准确地预测特定化学物质对人体潜在的危害程度,并据此制定更加有效的预防措施。

 

● 斑马鱼模型在科学研究中的多功能角色

 

1. 心血管系统研究:由于斑马鱼的心脏结构和功能与哺乳动物相似,它成为了心血管疾病机理研究的理想选择。通过转基因技术和CRISPR/Cas9基因编辑工具,研究者能够在斑马鱼体内模拟多种心脏缺陷,进而测试新药的效果或者寻找治疗心脏病的新途径。

 

2. 免疫反应机制:斑马鱼拥有完整的先天性和适应性免疫系统,这使得它们成为研究感染性疾病和疫苗开发的理想平台。特别是在抗菌肽、炎症信号通路等方面的研究中,斑马鱼模型提供了快速且成本效益高的解决方案。

 

3. 再生医学:斑马鱼具有惊人的再生能力,尤其是对于心脏、鳍条乃至视网膜等器官组织的再生。因此,研究者试图从斑马鱼身上学习到关于细胞重编程和组织修复的知识,以便将其应用到人类再生医学领域。

 

4. 药物筛选与毒性评价:斑马鱼胚胎透明可见,易于观察内部器官的变化;同时,它们体积小、繁殖快的特点也使其成为高通量药物筛选的理想对象。许多实验室正使用斑马鱼来快速鉴定出具有潜在疗效的小分子化合物,或是评估候选药物的安全性。

 

临床应用与展望

 

从长远来看,此项研究成果不仅加深了我们对于视网膜发育及其异常背后分子机制的理解,更重要的是它为诊断甚至治疗某些类型的遗传性视觉障碍提供了新的思路。例如,基于此次研究所鉴定出来的关键cCREs,未来或许可以开发出更加精准有效的基因编辑策略来修复有害突变,从而改善患者的预后。当然,在实际应用之前还需要经过严格的临床试验验证其安全性和有效性。

 

总之,这项开创性的研究表明了跨物种比较基因组学与现代高通量测序技术相结合的巨大潜力,为我们揭开生命科学领域更多未知之谜铺平了道路。

注:本文旨在介绍医学研究进展,不做治疗方案推荐。如有需要,请咨询专业临床医生。

 

参考文献

Lopez Soriano V, Dueñas Rey A, Mukherjee R; Genomics England Research Consortium; Coppieters F, Bauwens M, Willaert A, De Baere E. Multi-omics analysis in human retina uncovers ultraconserved cis-regulatory elements at rare eye disease loci. Nat Commun. 2024 Feb 21;15(1):1600.

来源:梅斯医学
编辑:小饼干