很多人不喜欢吃新鲜水果,但是对干果情有独钟。超市里干果的种类非常丰富,虽然干果的价格比新鲜水果高出一截,但既营养又方便,适合平时忙碌的生活。然而,另有一部分人认为,干果、蜜饯、果脯等是大家比较容易忽略的高热量食物,它们在制作过程中使用糖和香精腌制,这种浓缩后只剩下糖分和盐分的零食对我们的身体是有益还是有害呢?
近日,一项来自西安交大的研究表明,每天增加约1.3片干果的摄入量可以将2型糖尿病的风险降低60.8%该研究题为“Dried fruit intake and lower risk of type 2 diabetes:a two-sample mendelian randomization study”,发表在BMC Nutrition & Metabolism杂志。

 

与大家分享这一篇文章,更多落脚在:双样本孟德尔随机化
前段时间,F系列期刊突然宣布“不再接受孟德尔随机化研究的文章”,让不少已经开展或想要尝试孟德尔随机化的科研人陷入恐慌。但无论从发文数量还是研究方法本身来看,孟德尔随机化研究仍占领高位!(详情可见:多期刊拒收孟德尔随机化?别担心,孟德尔还能发一区!华西医院最新12+文章,教你高分科研思路
孟德尔随机化(MendelianRandomization,MR)是一种基于遗传变异的统计方法,是流行病学研究中评估病因推断的数据分析技巧。通过引入工具变量,MR能用来分析暴露因素和结局之间的因果关系,避免混杂因素对结果的影响,从而得出可信的因果关系。
截至2024年8月14日,通过Pubmed检索发现,孟德尔随机化相关发文数量飙升至12,218篇。2024年到现在发表了3300,高分文章更是屡见不鲜。孟德尔随机化的发文势头比当年的生信分析、Meta,可谓有过之而无不及!

 

图片

这项两样本孟德尔随机化研究思路清晰,很具有参考价值,教你如何轻松拿下SCI!
一、研究背景

 

干果的摄入量是人们长期争论的话题,其潜在影响与2型糖尿病 (T2D) 有关。干果因其浓郁的风味和较长的保质期而受到人们的青睐,成为寻求更健康零食替代品的人群的热门选择。然而,由于干果中含有高天然糖分,人们对此表示担忧,尤其是2型糖尿病患者。

 

与新鲜水果相比,干果中浓缩的糖分会更快地释放到血液中,导致餐后血糖迅速飙升,这对努力维持稳定血糖水平的人来说是一个巨大的挑战。观察性研究仅关注暴露与结果之间的相关性,缺乏推断因果关系的能力。此外,观察性研究中可观察到和不可观察到的残余混杂因素,都可能引入偏差或导致相反的结论。
为了克服这些局限性,科学家们开发了孟德尔随机化 (MR) 等新的研究方法。MR研究利用单核苷酸多态性 (SNP) 作为工具变量 (IV) ,估计了暴露和结果之间的因果关联。在此基础上,本研究采用双样本MR设计,探讨干果摄入量与2型糖尿病之间的因果关系,旨在为2型糖尿病的一级预防提供科学依据。

 

二、研究方法

 

1. 研究设计

 

为了满足 MR 研究所需的假设,需要满足三个主要标准:

(1)辅助变量(IV)必须与暴露因素密切相关,
(2)IV 必须独立于混杂因素,
(3)IV 必须通过暴露因素与结果相关。
图片
2. 数据源

 

全基因组关联研究 (GWAS) 的干果摄入量数据来自英国生物银行开展的一项涉及约500,000人的大型队列研究。
该研究收集了基因型和各种表型数据,队列中的参与者被邀请到当地评估中心,使用触摸屏问卷或标准化人体测量学收集数据。此外,还有三个额外选项可供参与者选择,即 (1) 少于一片、(2) 不知道和 (3) 不愿回答。
最终,共获得了421,764名欧洲参与者的干果摄入量数据。

 

3. 辅助变量选择
为了将与干果摄入量显著相关的 SNP 认定为有效的 IV,研究人员选择截止p值 < 5 × 10 − 8作为全基因组显著性。

 

三、研究结果

 

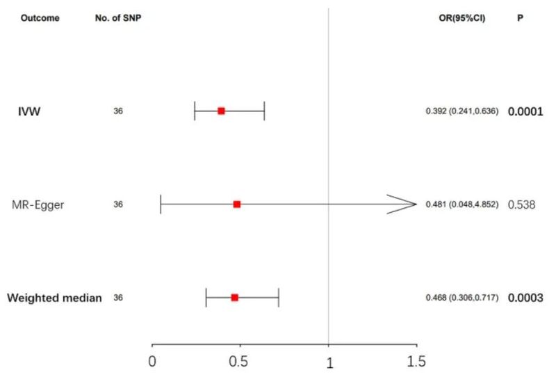
IVW 方法的孟德尔随机化结果表明,干果摄入量与2型糖尿病之间存在因果关系。

具体而言,干果摄入量增加与 2 型糖尿病风险降低相关;干果摄入量每增加一个标准差(每天 1.275 片),2 型糖尿病风险就会降低 60.8%。
图片
这种关联可能由多种潜在机制所致。美国国家健康和营养检查调查的数据表明,食用干果与积极结果相关,例如增加营养摄入、改善饮食质量评分和降低BMI,这些因素已知会影响2型糖尿病风险。此外,血糖的升高还会损害胰腺β细胞的功能,导致其功能障碍并导致胰岛素抵抗的形成,而胰岛素抵抗是2型糖尿病的标志。
干果是重要生物活性化合物的基质,如维生素(维生素 E、烟酸、胆碱和/或叶酸)、微量营养矿物质(镁、钾、钙和/或磷)、酚类化合物和类胡萝卜素。干果中的某些成分有可能在减轻2型糖尿病风险方面发挥关键影响,例如,干果中的类胡萝卜素具有固有的抗氧化特性,可能有助于降低患糖尿病的可能性。

 

四、总结
本研究存在一些局限性:

(i)本研究主要包括具有欧洲血统的个体,因此将研究结果推广到其他人群具有局限性。
(ii)干果效应的具体潜在机制尚未完全了解。
(iii)干果摄入量的数据来自英国生物库问卷,因此可能会受到潜在错误分类偏差的影响。不过,由于样本量很大,偏差会在一定程度上得到缓解。
(iv)很难证明结果完全独立于水平多效性效应。

 

总之,本研究通过MR分析发现,干果摄入可降低患2型糖尿病的风险。研究结果证实了干果的潜在益处,并为2型糖尿病的日常一级预防措施提供了见解。

 

来源:Guan, J., Liu, T., Yang, K. et al. Dried fruit intake and lower risk of type 2 diabetes: a two-sample mendelian randomization study. Nutr Metab (Lond) 21, 46 (2024). https://doi.org/10.1186/s12986-024-00813-z

 

撰写:Catherine

编辑:小饼干