Human Reproduction:中国研究学者首次揭示,男性体内这个指标与生育力下降存在关联
2024年11月18日
生育力是指夫妇双方在未采取避孕措施规律性生活情况下能够妊娠的能力。在实践中,妊娠等待时间(Time to Pregnancy, TTP)是一种广泛应用的评价生育力的有效指标,TTP延长通常表明生育能力下降。2023年4月世界卫生组织发布的《不孕症患病估计》显示,随着经济、环境、精神和社会压力的增加,全球有约17.5%(约1/6)的成年人口受不孕不育症影响,不孕不育已成为一个重要的公共卫生问题。现有研究发现,肾功能减退、肌肉流失与男性不育密切相关。肾小球滤过率和肌酐清除率降低会导致睾酮缺乏、性腺功能减退;肌肉流失与性功能障碍有关。虽然肌酐水平是同时反映肾功能和体内肌肉含量的指标,但这些相关研究大多是在不孕不育、肾功能异常患者中开展的,异常肌酐水平与普通育龄夫妇生育力降低是否有关目前还缺乏大规模、深入的研究证据。
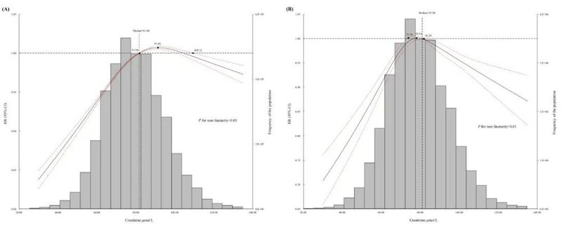
中国是人口大国,为了保障育龄人群的生殖健康水平,降低不良妊娠结局发生率,我国自2010年4月起在全国范围内推行国家免费孕前优生健康检查项目(National Free Pre-conception Check-up Project, NFPCP),其中包括丈夫血肌酐检测项目,这为开展育龄夫妇孕前肌酐水平与生育力的关联研究提供了珍贵的大样本人群基础。2024年9月21日,东南大学公共卫生学院王蓓教授、博士生宣岩与国家卫生健康委科学技术研究所马旭研究员、赵君研究员团队合作,在Human Reproduction(JCR一区,6分)上发表了题为“Assessment of male creatinine level and fecundity in couples planning pregnancy: A national cohort study in China”的原创论文,在国际上首次揭示了普通育龄夫妇中,丈夫肌酐水平异常与生育力下降存在关联,且这种关联在40岁以上的男性中更为明显。该研究基于NFPCP的育龄人群妊娠队列,纳入我国31个省(自治区、直辖市)于2015年1月1日至2017年12月31日间参加NFPCP的429万余对已婚育龄夫妇,他们在入组时表示已做好了怀孕准备,并在完成孕前检查后至少被追踪随访了一年。该研究纳入了孕前男性血肌酐检查结果完整的夫妇。在排除夫妇任意一方为不孕不育症、患有导致受孕困难的严重生殖系统畸形、病原体筛查结果为新近感染,或者女方缺乏完整月经数据或月经不规律等情况后,共计409万余对育龄夫妇(平均年龄男性为29.64岁,女性为27.96岁)进入生育力研究队列分析,并以研究对象孕前肌酐水平为暴露因素,以备孕时长(Time to Pregnancy, TTP)为主要终点结局指标,是否在一年内成功妊娠则根据随访时女性自报的B超检查结果来确认。根据育龄夫妇孕前丈夫的肌酐检测结果,将研究对象肌酐水平按十分位数间距划分。该研究中,91.78%的男性肌酐水平在正常参考值范围内,68.52%的夫妇在一年随访期结束时成功怀孕,TTP中位数为1.69个月经周期。在调整夫妇双方的基本人口学特征、健康状况、生活方式、以及女性月经和生育史等多项混杂因素后的Cox比例风险模型结果显示,与肌酐中位数P50所在的参照组相比,P1-P10、P11-P20、P21-P30和P91-P100四组夫妇的生育力分别下降了8%、5%、2%和1%(生育风险比HR1=0.92, 95% CI 0.91~0.92; HR2=0.95, 95% CI 0.95~0.96; HR3=0.98, 95% CI 0.97~0.99; HR10=0.99, 95% CI 0.98~0.99)。
根据男性年龄进行分层分析的结果显示,男性的肌酐水平在81.66 μmol~104.90 μmol之间时,生育力不会下降。而生育力受损的风险在40岁以上的男性中尤为明显,与年轻男性相比,40岁以上男性的肌酐推荐范围前移且更窄。这项基于NFPCP的大型生育力队列研究具有下述重要的临床指导和公共卫生学意义:1.与以往关注辅助生殖治疗或肾功能损伤人群的相关研究不同,该研究首次将TTP作为生育力的主要评估指标,在普通育龄夫妇中揭示了孕前肌酐异常与生育力下降有关,且这种关联40岁以上的丈夫中更为明显。2.与以往多数受肾功能损伤或辅助生殖治疗患者样本量限制的研究不同,该研究基于中国妊娠队列的大样本人群,首次评估了丈夫肌酐水平与育龄夫妇的生育力的关系。3.该研究还探讨了肌酐与生育力的关联在不同年龄的男性中是否存在差异,可为不同特征的育龄夫妇制定个性化的生育指导策略提供参考依据。4.该研究也充分说明了我国十余年来推行免费孕前优生健康检查项目的重要意义,详实的大数据让我们更清晰地认识到针对不同肌酐水平的育龄夫妇的生殖健康促进,不仅需要在母婴层面开展健康服务,也需要在男性指标的健康引导上引起重视。本研究也是该团队近年来继在American Journal Of Obstetrics And Gynecology、JAMA Network Open、BMC Medicine、Human Reproduction、Fertility and Sterility、BJOG-AN INTERNATIONAL JOURNAL OF OBSTETRICS AND GYNAECOLOGY上发表的第10篇生育力研究的原创论文。
东南大学公共卫生学院博士生宣岩为本文第一作者,东南大学公共卫生学院王蓓教授和国家卫生健康委科学技术研究所马旭研究员为本文的共同通讯作者。其他主要贡献者包括东南大学公共卫生学院洪翔助理研究员、国家卫生健康委科学技术所的赵君研究员和张月博士等。
原文链接:
Human Reproduction. 2024; 39(11), 2587–2600.
doi: 10.1093/humrep/deae206