公共数据库那么多,每个科研人都能用,从PubMed检索的情况看,每月均有大量的利用公共数据库发表的文献,实现轻轻松松就发一篇文章,而且有些发的论文质量还很高。但公共数据涉及的数据也是有限的,如何仅靠数据库,而不加实验便找出亮点发高分,始终是困扰科研人的一大问题。

 

不妨试试,公用数据库+新的评估指标!

 

近日,中国中南大学相关研究团队在Frontiers in Immunology杂志发表了研究成果,探讨了全身炎症反应指数(SIRI)与慢性肾脏病(CKD)患者心血管死亡率和全因死亡率的相关性。

 

让我们以这篇为例,探讨如何将数据库与稀有指数(如SIRI)结合来轻轻松松实现发文目的!
图片
研究内容与思路

 

一、参与者基线特征

 

本研究收集了美国国家健康与营养调查(NHANES)2001年至2018年的数据,共有91351名参与者,经过一系列条件筛选后,3262名参与者被纳入本研究。根据CKD分期,将这些患者分为五组。不同人群在年龄、种族分布、家庭收入状况、饮酒习惯、BMI、空腹血糖、血脂、肝功能指标、血清肌酐水平等方面存在统计学差异。然而,在性别分布、吸烟习惯和教育水平方面,没有发现统计学上的显著差异。

 

研究发现CKD晚期在老年人、经济困难家庭、合并高血压、透析患者以及血清肌酐、ACR和SIRI水平较高的人群中更为常见,SIRI较低者具有较高的肾小球滤过率(eGFR)和血红蛋白水平特征
图片
二、SIRI是死亡率的独立预测因子

 

本研究利用三个Cox回归模型来评估SIRI的独立功能及其与死亡率的相关性,根据SIRI的四分位数(Q1:<0.661, 0.661≤Q2<0.978, 0.978≤Q3<1.460, Q4:≥1.460)将其重新分类为四组。结果发现与SIRI Q1相比,Q4组的心血管死亡率风险增加2.5倍,全因死亡率风险增加3.02倍。Kaplan-Meier曲线证实了上述结论,在CKD人群中,与SIRI得分较低的人相比,SIRI得分较高的人在20年随访期间的生存率下降更为显著。
图片
三、亚组分析及交互作用分析

 

为了确定不同亚组人群中SIRI与死亡率之间关系的一致性,在特定类别中进行了亚组分析,森林图的结果显示:在40岁以上、未接受透析和CKD Ⅰ-Ⅳ期患者中,高SIRI是全因死亡率的独立危险因素。而对于心血管死亡率,仅在60岁以上男性、合并高血压且未透析患者以及CKD Ⅰ-Ⅲ期或轻度至中度白蛋白尿患者中,升高的SIRI会增加心血管死亡率增加。交互作用分析表明,SIRI与这些因素在共同影响心血管或全因死亡率方面没有交互作用。这意味着SIRI是一个独立的因素,导致两种类型的死亡风险增加
图片
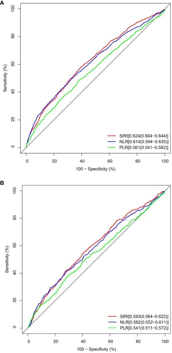
四、敏感性和特异性分析

 

通过SIRI和全因死亡率的接受者工作特征曲线(ROC)分析,发现SIRI预测全因死亡率的曲线下面积(AUC)为0.624,预测心血管死亡率的AUC为0.593,表明SIRI作为预后诊断工具具有一定的预测能力,但总体预测性能受限
图片
五、限制性立方样条回归分析

 

研究采用限制性立方样条回归分析来进一步阐明SIRI与HR(Hazard Ratio)之间的具体关系。发现心血管死亡率的SIRI与HR之间存在显著的非线性关系:当 SIRI < 1.2时,心血管死亡率风险与SIRI呈负相关;当SIRI > 1.2时,心血管死亡率风险增加,且随着SIRI继续升高,HR逐渐变化并趋于平稳。而在全因死亡率的情况下,SIRI和HR表现出线性关联。 
图片
小结

 

综上所述,本研究利用公共数据库NHANES来探讨慢性肾脏疾病患者的SIRI与心血管死亡率和全因死亡率之间的关系,数据详实,紧扣当前健康研究热点。接着,基于Cox回归模型、亚组分析、KM生存曲线、ROC曲线等多种方法更准确地控制其他变量潜在影响因素,得出更可靠的结果。

 

那么,在这篇研究中,有什么经验是值得参考和进一步探索的?主要总结为以下几点:

 

1.进一步探讨SIRI与其他疾病的关系:本研究只探讨了CKD患者的SIRI与心血管死亡率和全因死亡率之间的联系,那么,其他疾病患者如糖尿病等的SIRI是否与心血管死亡率和全因死亡率存在联系。

 

2.多个指标联合应用或比较分析:SIRI只是一个指标,此外,其他文献已经报道的相关指标还有全身炎症免疫指数(SII),全身免疫炎症反应指数(SIIRI)。因此,可以将其结合起来或进行比较分析等。此外,还可以探讨是否可以发现更敏感的炎症指标!

 

3.从数据库研究过渡到临床研究:动态监测SIRI水平的变化,以及治疗干预对SIRI的影响;还可以通过药物或其他方法降低炎症反应,观察其对疾病预后的改善效果。

 

当前,利用公共数据库发文已是大势所趋,但是数据库就那么多,数据就那么多,怎么创新?那当然是加入新的指标啦!换个指标,按照一样的套路复刻一遍,SCI文章思路就出现啦。

 

参考文献:

 

[1] Gu L, Xia Z, Qing B, et al. Systemic Inflammatory Response Index (SIRI) is associated with all-cause mortality and cardiovascular mortality in population with chronic kidney disease: evidence from NHANES (2001-2018). Front Immunol. 2024;15:1338025. Published 2024 Mar 15. doi:10.3389/fimmu.2024.1338025

 

撰写:MIE

编辑:小饼干