SEER(The Surveillance, Epidemiology, and End Results)数据库是由美国国立癌症研究所建立,是常用的癌症数据库,收录了美国约30%人口的癌症诊断、治疗和生存数据,在人群特征、病理、免疫组化、放化疗以及随访等多方面均有统计,从而进行临床回顾性数据总结归纳。
以PubMed文献数据库为基础进行检索,2023年发文量达到1788篇,2024上半年发文量为973篇这么大的发文量,足可见SEER数据库的魅力!
图片

 

既然每年那么多篇,如何在1000+/年的发文量中脱颖而出,让审稿人眼前一亮咧?当然是结合一些模型或者结合更多数据库啦,强强联合才是王道。

 

今天,小编分享一篇发表在Cancer Medicine杂志的文章,将SEER数据库与Nomogram模型相结合的文章,纯生信分析,整体花费时间少且工作量少,无需实验就能发一篇SCI!
图片
一、研究内容与思路

 

1、患者基线特征
2004年至2015年,SEEER数据库共记录了622名表皮样肉瘤患者(ES)患者。
这次分析一共涉及456名患者,包含:训练组320名患者,验证组136名患者。训练组患者的平均年龄为44.73岁,验证组为42.57岁。两组患者中白人占多数,分别为77.7%和77.9%。男性患者多于女性,训练组男女比为2.38:1,验证组为2.37:1。
最常见原发部位为四肢深部,训练组为49.4%,验证组为56.6%。大多数患者分级为III-Ⅳ级,训练组为60.9%,验证组为60.3%。大部分患者存在远处转移,训练组为60.9%,验证组为60.3%。接受手术的患者占多数,训练组为74.1%,验证组为76.5%。平均生存月份训练组为66.0个月,验证组为54.5个月。
图片
研究思路1:作者将收集到的患者数据分为训练组以及验证组,其中,训练组用于构建及评估模型,验证组用于评估这个模型是否可以使用等。因此,训练组和验证组之间没有差异。

 

2、单因素和多因素Cox回归分析

 

单因素Cox回归分析显示年龄、原发部位、肿瘤分级、T分期、N分期、M分期、是否接受手术、是否接受放疗以及是否接受化疗与总生存相关。
多因素Cox回归分析结果显示年龄、原发部位、肿瘤分级、T分期、M分期以及是否接受手术是总生存的独立危险因素。根据多因素Cox回归分析发现:年龄越小,原发部位越浅,分化越好,T分期和M分期越低,接受手术的患者预后越好。
图片
研究思路2:癌症常见影响因素包括年龄、发病部位、疾病分期以及治疗方案等。对此,作者从这几点出发进行因素分析。

 

3、Nomogram模型的构建

 

作者以年龄、原发肿瘤部位、分级、手术、T阶段和M阶段为预测指标,评估了ES患者1、3、5年OS生存Nomogram图。一个体表四肢原发、I-Ⅱ级分化、T1期、M0期、接受手术的患者,可以获得0总点,对应的1年、3年和5年生存率预测值分别为95%、85%和70%。
图片
研究思路3:作者引入了Nomogram模型,用于预测癌症患者的生存率、疾病进展、治疗反应等重要指标。

 

4、Nomogram模型精准度评估
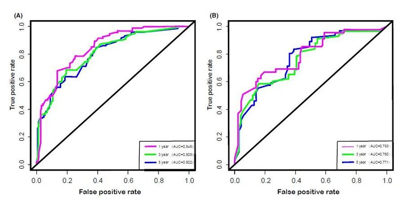
为了增加模型的可信度,作者借助了AUC值以评估Nomogram模型的精准度。
结果显示,在训练队列中,预后模型1年、3年和5年的AUC值分别为0.846、0.809和0.802;而在验证队列中,1年、3年和5年的AUC值分别为0.793、0.760和0.771。上述结果表明,该模型具有较高的精度。
此外,一致性指数C-index值为0.82,表示预测和观察到的1年、3年和5年生存率之间存在较好的对应。
图片
研究思路4:ROC曲线是常用的验证Nomogram模型评估质量的工具,在进行生存模型构建时,一定要记得验证模型的评估效果。ROC曲线显示该模型对生存的预测准确性良好,表明该Nomogram模型可以对表皮样肉瘤患者的生存进行预测。

 

5、Nomogram模型的校准曲线评估

 

Nomogram模型在训练组和验证组中预测1年、3年和5年生存率的校准曲线如图所示。结果显示,训练组和验证组的校准曲线都表明预测值与实际值之间存在高度相关性,表明其校准性和预测性能良好。
图片
研究思路5:之后,作者借助了校准曲线来进一步验证Nomogram模型的准确性。结果可见,预测概率与实际概率较为接近,提示Nomogram模型具有较强的预测能力。

 

6、Nomogram模型的临床应用价值评估

 

验证Nomogram模型的精准度之后,作者评估了其临床应用价值。Nomogram模型和AJCC分期系统在训练组和验证组中的净获益情况如图所示。训练组和验证组Nomogram模型的1年、3年和5年生存预测净获益均高于AJCC分期系统。
这表明与仅依据AJCC分期决策相比,Nomogram模型可以为表皮样肉瘤患者带来更高的净获益。决策曲线分析证实了Nomogram模型的临床应用价值,可以更准确地预测表皮样肉瘤患者的生存,为临床决策提供帮助。
图片
研究思路6:Nomogram模型的临床应用价值是评估该模型质量的重要指标,通常置于ROC后出现,从模型预测到模型准确性验证,再到临床应用评估,结果表明该模型为患者提供了良好的净效益。

 

7、患者相关特征的生存分析

 

不同M期、分级、T期和手术情况对表皮样肉瘤患者生存的影响如图所示。
M0的患者生存明显优于M1和未知M阶段,I-Ⅱ级患者生存优于III-Ⅳ级和未知分级,T1期患者生存优于T2期和未知T期。
接受手术的患者生存显著优于未接受手术的患者。不同原发部位之间生存也存在显著差异。上述变量在Log-rank检验中均显示了对患者生存的显著影响。
总之,Figure 5直观地通过生存曲线比较了影响表皮样肉瘤预后因素之间的生存差异。
图片
研究思路7:最后评估了临床相关特征对患者生存的影响,起到了完善文章内容的作用,证明模型的实用性。

 

二、小结

 

这是首个针对表皮样肉瘤患者建立有效生存预测模型的研究。研究利用大样本数据库分析了表皮样肉瘤的预后因素,并开发了实用的预后预测模型,模型校准曲线显示预测值与实际值吻合良好,提示模型对生存的预测准确性高,能为临床决策提供帮助。

 

选题新颖,研究流程完善——从患者资料的提取分析,到模型的建立和验证,且数据来源于公开的SEER数据库,样本量大,可靠性高,可重复性高,最后还验证了模型实用性,有助于医生评估预后和制定治疗方案。

 

参考文献:

 

[1] Zhang, Di et al. “Prognostic Nomogram in patients with epithelioid sarcoma: A SEER-based study.” Cancer medicine vol. 12,3 (2023): 3079-3088. doi:10.1002/cam4.5230

 

撰写:MIE

编辑:小饼干