近期,糖岭生物公布关于抗体偶联药物的一项创新成果获得了国家知识产权局的专利授权,专利名为《二糖连接子、二糖-小分子药物偶联物以及糖链定点抗体-药物偶联物,其制备方法及用途》。该专利涵盖了一种创新的ADC定点偶联方法,该方法利用抗体Fc结构域N297位的保守的糖基化位点进行药物的定点偶联。
专利中描述的二糖-连接子结构是一种新型的连接设计,它通过特定的化学酶促反应与抗体的糖基化位点结合,实现了药物的高效定点偶联。这种设计不仅提高了ADC的稳定性和安全性,而且通过优化的药物释放特性,增强了对肿瘤细胞的杀伤效果。图一所示为保护的糖工程抗体和糖定点ADC化合物结构示意图。

图1. 糖工程抗体和糖定点ADC化合物示意图
具体地,该专利保护内容包括:
■ 二糖-连接子结构及制备方法(权1-权14)
G环代表衍生自单糖分子半乳糖、N-乙酰-半乳糖、葡萄糖的结构;Z-Y-X-表示G环上的取代基,Z-Y-X-包含各种分支或非分支的连接子-功能分子复合物(其中功能分子包含各种官能团、细胞毒素等,或为功能分子修饰的糖结构的情形,其中功能分子包含各种官能团、细胞毒素等)。
■ 基于二糖-连接子的糖工程抗体及糖定点ADC结构、制备方法及用途(权15-权38)

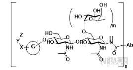
图2. 糖工程抗体(IX)、糖定点ADC(XI)的结构示意图
式IX和XI所示分别为保护的糖工程抗体及糖定点ADC结构。其中,G环代表衍生自单糖分子半乳糖、N-乙酰-半乳糖、葡萄糖和甘露糖的结构;Z-Y-X-定义同二糖-连接子中Z-Y-X-的定义;m选自0或1,n选自1或2。式IX和XI所示的糖定点ADC可通过糖苷内切酶的一步转糖基化直接实现,或通过糖苷内切酶首先在抗体糖基化位点引入生物正交基团,进一步偶联功能分子获得。相关制备方法读者可自行从权20-权23(糖工程抗体)和权24-权31(糖定点ADC)获得更为详细的信息。
ADC领域的商业博弈:专利之争
近几年,抗体药物偶联物(ADCs)领域的快速发展,不仅推动了医药行业的创新浪潮,也引发了一系列的商业运作,包括公司收购、管线交易和技术合作等,这些运作的复杂性和频繁程度令人目不暇接。在这场生物制药的盛宴中,各大制药公司和生物技术企业都在积极布局,以期在ADC市场中占据一席之地。
目前,全球范围内已有15款ADC药物获批上市,这些药物覆盖了多种癌症类型,包括乳腺癌、非小细胞肺癌、血液肿瘤等。这些药物的成功上市,不仅标志着ADC技术在临床应用中的成熟,也反映了全球医药市场对这一创新药物的高度认可。
公司收购方面,许多大型制药企业为了迅速获得ADC领域的技术和产品线,不惜重金收购拥有潜力ADC项目的小型生物技术公司。这些收购不仅涉及到巨额资金,也关系到公司未来发展战略的调整和市场竞争力的提升。管线交易同样活跃,许多公司通过合作开发、授权许可或技术转让等方式,来获取或出售ADC药物的研发管线。这些交易往往涉及复杂的知识产权和商业利益分配,需要精细的谈判和策略规划。技术合作则是ADC领域中另一种常见的商业运作模式。不同公司之间通过共享技术资源、研发平台和专业知识,共同推进ADC药物的研发进程。这种合作模式有助于降低研发成本、分散风险,并加速新药上市的进程。
然而,随着ADC商业化前景的逐步明朗,相关的专利纠纷也日益增多。专利官司在医药行业内并不罕见,但在ADC领域,由于其技术复杂性和高价值性,专利争议往往更加激烈和引人注目。特别是第一三共(Daiichi Sankyo)和Seagen之间的linker专利之争,更是成为了行业内的焦点事件。这场官司不仅涉及巨额的经济利益,也关系到ADC技术发展的未来走向。第一三共和Seagen的专利之争,主要围绕ADC中关键的linker技术展开。Linker是连接抗体和小分子药物的桥梁,其稳定性、释放特性和生物相容性对ADC的疗效和安全性至关重要。两家公司在linker技术的研发和应用上都有深入的投入,因此这场官司的结果,不仅影响着双方的商业利益,也可能对整个ADC领域产生深远的影响。
新一代抗体药物偶联物(ADCs)的研究与开发正逐渐聚焦于药物-连接子(payload-linker)的定点偶联技术。与传统的随机偶联技术相比,定点ADCs在药物代谢动力学、疗效和安全性方面展现出显著的优势,为肿瘤治疗提供了更为精准的武器。在质控方面,定点ADCs的均一性显著提高,这意味着每个抗体分子上药物的分布更加一致,有助于减少药物在体内的不预期毒性。在有效性方面,定点偶联技术能够确保药物在肿瘤细胞内的精准释放,提高局部药物浓度,从而增强对肿瘤细胞的杀伤效果。在安全性方面,定点ADCs减少了对正常细胞的损害,降低了副作用,改善了患者的治疗体验。
糖岭生物积极推动技术创新,加速糖定点ADC技术商业化
糖岭生物拥有自己的Disaclink™技术服务平台,DisacLink™技术具备高通用性,属于最具应用价值的定点偶联技术之一,适用于包含人源Fc的抗体或融合蛋白,利用Fc结构域保守的N-糖基化修饰作为定点偶联的位点,无需预先改造抗体序列且不改变抗体自身特异性和分子稳定性。此外,糖岭的一步法糖定点技术通过ENGase酶在4小时内一步将linker与payload连接到抗体上,且兼容不同的linker与payload,具有较好的稳定性、亲水性和安全性,是目前市面上唯一的单酶一步糖定点偶联技术。
这一技术的应用,使得糖岭生物在抗体的糖基化位点上能够快速且高效地修饰有效载荷,为糖定点ADC的多样性制备和成药性评价开辟了新的道路,显著加快了药物开发进程。糖岭的这项技术通过精确的化学或酶促反应,确保了抗体上药物的均匀分布,从而提高了ADC的均一性和疗效。此外,糖定点偶联的方法还减少了药物在非靶细胞中的释放,降低了副作用,提高了治疗的安全性。这不仅提升了ADC药物的治疗效果,也为患者提供了更为安全的治疗选择。在杨洋博士的引领下,糖岭生物的商务拓展团队正迅速推进对外合作与技术授权,确保这项创新技术能够迅速转化为商业成功。

糖岭公司创始人黄蔚教授,作为中国科学院上海药物研究所的资深研究员、国家杰出青年科学家、上海市浦江人才学者、杭州创新创业领军人才,已将其在抗体药物偶联物(ADCs)领域的突破性技术转移至糖岭。黄蔚教授的创新成果,即基于二糖连接子的糖定点ADC制备技术,已通过正式协议,从上海药物研究所转移到上海糖岭生物医药有限责任公司,标志着产学研合作模式的成功实践。该技术转移不仅体现了高校科研成果向产业应用的转化,也展现了企业在推动科技创新及商业化过程中的关键作用。我们对此项技术的未来应用及商业潜力持乐观态度,并致力于将其发展成为ADC领域的领先技术。
糖岭生物将继续秉承创新驱动的发展理念,致力于将自主研发的糖定点偶联技术应用于ADC药物的开发,以期为全球患者提供更有效、更安全的治疗选择。同时期待在ADC领域实现技术突破,并为中国生物医药产业的发展贡献力量。

(糖岭实验室团队合影)

(糖岭技术人员留影)

(糖岭技术人员留影)