在繁忙的生活中,很多人发现自己大部分时间已经被工作、学习以及各种琐事所占据,很难挪出时间进行规律的运动:早上起不来或者有早八;午休时间太短又不适合运动;晚上则是刚下班或下课,身心疲惫,还是瘫着更为舒服。

 

但老话常说“生命在于运动”,运动不仅是提升生活质量的关键因素,更是延长寿命的重要手段。世界卫生组织(WHO)推荐,成年人每周至少进行150分钟的中等强度体育活动或75分钟的高强度活动,这对提高生活质量至关重要。此外,越来越多的研究也显示,运动具有诸多益处,包括降低疾病发病率和死亡风险,无论强度和年龄如何,较高的运动水平都可以降低死亡风险。由此,人们越来越关注如何在日常生活中找到既简单又有效的健身方式。

 

近日,澳大利亚格里菲斯大学的研究人员在英格兰医学杂志(BMJ)子刊《英国运动医学杂志》发表了研究成果,结合具体数据来探讨体育运动对延长寿命的积极影响。研究显示,40岁以后,对于运动量最小的人,每天以4.8公里/小时的速度步行111分钟,或同等运动量的其他运动,或可将寿命延长11年。换算成小时,每天步行一小时,可使寿命延长169分钟(2.8小时),尤其是是对于不太运动的人而言,即使每天多步行半小时,也好处多多!

 

这一发现突显了体育锻炼在健康和长寿中的关键作用。

 

 

研究背景与方法

 

在这项研究中,研究人员基于2003-2006年国家健康和营养检查调查数据库中40岁以上人群的体力活动数据、国家卫生统计中心2017年死亡率数据以及美国人口普查局2019年的人口数据,创建了一个预测模型,分析了体育活动和寿命的关系。这里谈到的体育活动涵盖了一切能引发能量消耗的身体运动,包括日常生活中的活动、通勤、做家务、休闲娱乐以及专门的游泳、跑步、健身等运动训练。

 

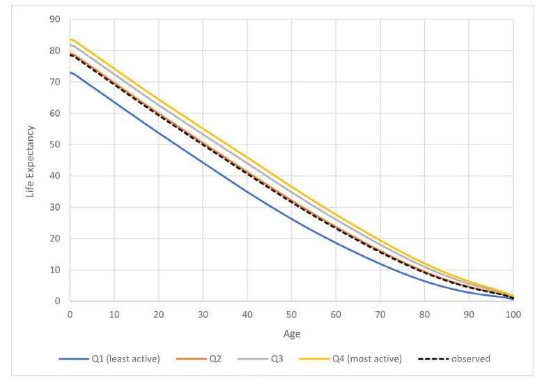
根据运动水平,将参与者分为4组(Q1-Q4),从最不活跃到最活跃。其中,最活跃的人运动量相当于每天以4.8公里/小时的速度步行160分钟(成年人的平均步行速度大约在4到6公里/小时之间)。

 

图片表1:平均总体力活动

 

运动真的有助于长寿

 

结果显示,2017年美国人的平均预期寿命为78.6岁。

● 其中,对于最不活跃的人群(Q1):如果继续保持最低的运动量,预期寿命将减少5.8年。

● 对于中等活动量的人群(Q2):如果增加到中等活动量,预期寿命将增加0.6年。

● 对于较高活动量的人群(Q3):如果增加到较高活动量,预期寿命将增加3.5年。

● 对于最活跃的人群(Q4):如果所有人都能达到最活跃的水平,预期寿命将增加5.3年。

 

图片图1:按年龄划分的美国平均预期寿命

 

如果Q1人群想要得到Q4人群的健康益处,则需要相当于每人每天额外步行111.2分钟。这种每日剂量的体力活动将使预期寿命延长10.9年,每增加一小时的体力活动将平均延长寿命169.1分钟。

 

依此类推,如果Q1人群想要得到Q2人群的健康益处,人们每天需要额外的28.5分钟步行,每小时增加约6.3小时的寿命。从Q2到Q3则需要每天需要多走27.8分钟,每走一小时,寿命就会增加近3小时。Q3到Q4则需要55.0分钟步行,步行一小时可以延长不到一小时的寿命。Q2到Q4则需要82.8分钟步行,平均每步行一小时可延长4.6小时的寿命。

 

表2:低活动量的人在运动到高活动量水平时获得的益处

 

综上所述,运动带来的健康益处远超以往的想象,这项研究证明了运动对预期寿命的巨大影响,如果让40岁以上人的运动水平都像最活跃的人一样,可以让这一群体的平均寿命增加11年。

 

小结

 

想象一下,我们每天抽出一点时间来走走,就像是在给我们的生命“充值”。走路的时候,我们的身体就像一个充满活力的小宇宙,血液循环加速,各个器官都在欢快地“工作”。所以,朋友们,别再犹豫啦!约上家人或三两好友,出门走走吧~现在养成运动的好习惯,也是在为未来的健康和长寿打下坚实的基础哦。

 

但!有人可能会问,这是不是就意味着我们只要拼命运动就好啦?研究人员在最后强调了这只是一项观察性研究,还不能完全确定运动和延寿之间就是绝对的因果关系。但是不可否认的是:运动的确有助于健康及长寿。

 

参考文献:

Veerman L, Tarp J, Wijaya R, et al. Physical activity and life expectancy: a life-table analysis. Br J Sports Med. Published online November 14, 2024. doi:10.1136/bjsports-2024-108125