撰文|林夏
审校|苏桐
当我们握着手中的无糖饮料,以为避开了糖分的危害时,或许从未想过,这杯“零热量”饮品里,正让大脑悄悄“变老”……
2019年前后,美国约翰斯·霍普金斯大学莎拉·布什曼(Sarah Bushman)团队与巴西圣保罗大学克劳迪娅·杉本(Claudia Kimie Suemoto)团队,分别在整理饮食与认知数据时发现相似线索:常年喝无糖饮料的中老年人,认知表现普遍弱于不喝者。彼时,低热量与无热量人工甜味剂(LNCAS)仍是食品工业主推的“健康替代品”,却没人察觉其对大脑的潜在影响。
随后,布什曼团队对13440名美国中老年人开展10年追踪,杉本团队对12772名平均年龄52岁的巴西成年人进行8年随访,两项跨洋研究共同揭示:LNCAS摄入与认知衰退显著相关,且高摄入者认知衰退速度比低摄入者快35%-62%,相当于大脑多衰老1.3-1.6年。这些数据最终分别发表于《美国临床营养学杂志》与《Neurology®》,为“无糖选择”打了一个问号。

01
加速衰老关联追踪
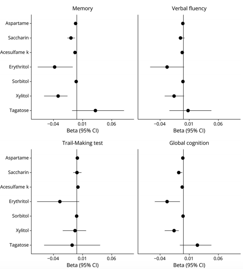
两项研究均以严谨的队列设计锁定LNCAS与认知的关联,仅在样本细节与评估维度上略有差异。布什曼团队覆盖美国4个社区,纳入多种族、多收入群体,排除认知障碍、糖尿病等基础疾病干扰;杉本团队则覆盖巴西全国,重点关注7种LNCAS(含赤藓糖醇、木糖醇等天然食品中少量存在的种类),比美国团队的4种覆盖更全。
饮食评估上,两者均采用食物频率问卷,细化LNCAS摄入频率(从“从不”到“每天2次及以上”分档)与种类:美国团队聚焦阿斯巴甜、三氯蔗糖等,巴西团队则额外记录每种甜味剂摄入量,发现山梨糖醇日均摄入最高(64毫克),与巴西人爱用其改善烘焙食品口感的习惯相关。认知测试均围绕记忆、执行功能、语言能力展开,如“延迟词语回忆”“连线测试”,最终以综合得分衡量衰退程度。
值得注意的是,巴西团队按摄入量将参与者分为三组:低摄入组日均20毫克,高摄入组191毫克(约1罐无糖可乐的阿斯巴甜含量),这种量化分组让“剂量-效应”关系更清晰;而美国团队通过10年长期追踪,更精准捕捉到LNCAS的累积影响。
02
谁的大脑更脆弱?
两项研究均证实LNCAS摄入与认知衰退呈“剂量依赖性”,但在人群敏感性与甜味剂种类风险上呈现差异与互补。
年龄方面,美国团队发现60岁以上老年人风险最高——每天摄入1次LNCAS,认知衰退风险比不摄入者高31%,45-59岁中年组则无显著关联;巴西团队却仅在60岁以下人群中发现显著影响,60岁以上无关联。研究者推测,这可能与随访时长(美国10年vs巴西8年)或老年饮食习惯相关,巴西老年人更常吃天然食物,或抵消部分LNCAS影响。

人工甜味剂摄入越多,记忆、语言流畅性和整体认知衰退越快,唯独对执行功能没影响,且高摄入组的衰退效果最明显。
糖尿病患者是共同认定的“高危群体”:巴西团队发现,糖尿病患者中LNCAS与认知衰退的关联更强,因这类人群为控糖更依赖LNCAS,且本身胰岛素抵抗易削弱大脑耐受力;美国团队也证实,LNCAS会使老年人胰岛素抵抗发生率升高27%,而胰岛素抵抗者认知衰退风险高42%,形成“代谢-认知”恶性循环。
甜味剂种类上,两者均将阿斯巴甜列为高风险(美国:日均摄入风险高22%;巴西:与认知快速衰退相关),三氯蔗糖(美国:风险高19%)、安赛蜜、糖精也被证实有害;巴西团队额外发现,赤藓糖醇、木糖醇同样关联认知衰退,唯独塔格糖无关联,推测其代谢快、不易积累的特性降低风险。
还有一反差结果值得关注:美国团队对比发现,每天喝1次含糖饮料的认知衰退风险(8%)远低于无糖饮料(18%),虽不代表含糖饮料更健康,却明确LNCAS并非“无害替代品”,其对大脑的直接影响远超预期。

除了塔格糖,其他 6 种人工甜味剂都会加速记忆、语言流畅性或整体认知衰退,且不同甜味剂的影响程度有差异。
03
加三条“伤害链条”
结合两项研究与动物实验,可梳理出LNCAS影响认知的三条核心路径,均与衰老生理变化紧密相关。
第一条路径围绕肠道菌群紊乱:美国团队发现,长期喝无糖饮料者肠道有益菌(双歧杆菌、乳酸菌)减少20%-30%,有害菌(产毒梭状芽孢杆菌)增加15%,导致短链脂肪酸不足、肠道屏障受损,有害菌产生的脂多糖进入血液引发慢性炎症。老年人本就处于“衰老相关炎症状态”,炎症因子进一步激活大脑小胶质细胞,释放毒素损伤神经元,尤其导致海马体萎缩(高摄入者海马体体积小5%),而海马体是记忆的核心区域。
第二条路径与胰岛素信号紊乱相关:LNCAS虽无糖,却会通过口腔、肠道甜味受体向大脑发送“有糖信号”,促使胰腺分泌胰岛素,长期“空转”导致胰岛素抵抗。老年人胰岛素受体本就减少,LNCAS加速抵抗进程,使大脑葡萄糖摄取不足(高摄入者海马体葡萄糖摄取量低15%),神经元能量匮乏、突触修复受阻,最终引发记忆下降。
第三条路径源于甜味感知错位:人类大脑进化出“甜味=能量”的认知模式,LNCAS打破这一匹配,导致大脑感知系统混乱。美国团队发现,长期摄入者在“任务转换测试”中反应慢18%、错误率高21%,认知灵活性下降——老年人本就因前额叶皮层衰退导致灵活性减弱,LNCAS进一步加剧这一问题。
04
如何避开LNCAS
尽管两项研究均为观察性研究,无法完全证实因果关系,但仍为健康衰老提供明确指引。
优先选择低风险甜味剂与天然来源:如巴西研究中无关联的塔格糖,或美国研究提及的甜菊糖苷、赤藓糖醇,这类物质对肠道菌群与胰岛素信号影响小;新鲜水果是更优选择,果糖搭配膳食纤维可延缓吸收,植物化学物(如蓝莓花青素)还能保护神经元。
关注肠道健康以切断“菌群-炎症”链条:多吃燕麦、糙米、菠菜等富含膳食纤维的食物,为有益菌提供营养;适量补充含双歧杆菌BB-12的益生菌,改善肠道屏障功能,减少炎症因子产生。
高风险人群加强监测:60岁以上老年人、60岁以下LNCAS高频摄入者及糖尿病患者,建议每年或每2-3年进行认知筛查(如MMSE量表),早期发现衰退信号可通过饮食调整、运动、社交干预延缓进程。
需明确的是,健康衰老需系统性管理:均衡营养(保证优质蛋白、不饱和脂肪酸)、规律运动(每周150分钟中等强度有氧)、充足睡眠(7-8小时),均能为大脑提供保护。在“控糖”潮流中,切勿迷信“无热量即健康”,毕竟对大脑而言,大自然赋予的天然甜味,也许是最安全的选择。
参考文献:
Natalia Gomes Gonçalves, Euridice Martinez-Steele, Paulo A. Lotufo, Isabela Bensenor, Alessandra C. Goulart, Sandhi Maria Barreto, Luana Giatti, Carolina Perim de Faria, Maria del Carmen Bisi Molina, Paulo Caramelli, Dirce Maria Marchioni, Claudia Kimie Suemoto. Association Between Consumption of Low- and No-Calorie Artificial Sweeteners and Cognitive Decline. Neurology, 2025; 105 (7) DOI: 10.1212/WNL.0000000000214023
精选PPT下载链接:
公众号已建立“小药说药专业交流群”微信行业交流群以及读者交流群,扫描下方小编二维码加入,入行业群请主动告知姓名、工作单位和职务。
